Metamath
|
 Galois Groups and Finite Fields
There is a great deal to be learned before finite fields
may be understood. Many mathematicians think we know very little about
them at all. Finite Fields or 'Galois fields' as they are collectively
know, are extensions of the Fields Zp described earlier. (In fact the
fields Zp are equivalent to Z / pZ, where pZ is the ideal of Z of
multiples of P in the integers.) Field extensions are based on
polynomials, using the elements of a finite field as coefficients for
the terms of the polynomials. The 'x' in the polynomials do not in the
usual sense of the construction have a solution, and the 'x' is termed
an 'indeterminate'
To make an extension of a field F, we extend it to the
ring of all polynomials in 'x' with elements of F as coefficients. Just
like the integers have prime numbers, since F is not 'algebraically
closed' (That all polynomials can be factored into those of lesser
degree like in the complex numbers) There are 'prime like' polynomials
called 'irreducibles'. The multiples of these irreducibles form ideals
which in a similar fashion to making Z / pZ, we may define a field of
polynomials from F[x] / p(x) = F(x) from the ring F[x] of polynomials in
x with coefficients in F, and the (maximal) ideal of the irreducible p(x).
The degree of the polynomial p(x), the highest power of x in p(x)
becomes the degree of extension over F. That is, if p(x) has x7
then if Zp is the subfield, the extension will have p7
elements. Conversely, if a field has p to the n elements and we write
this as Gal(p,n) then there is a subfield Gal(p,k) if k divides n. The
smallest possible subfield, Zp is called "The prime subfield". To test
whether a polynomial is irreducible over a field F in F[x], we
test every polynomial of lesser degree than the irreducible to see if the polynomial splits over the field F. Substituting elements of F into p(x) to see if the field solves the
equation p(x) = 0 is insufficient, as the polynomial may split into further irreducibles over F. If this is the case, the polynomial is not
irreducible over x. The polynomial p(x) can be split into factors over
F, and F is called a 'splitting field' of p(x).
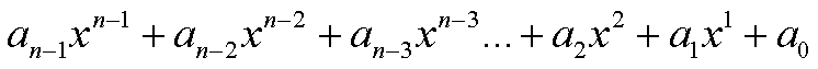
If p(x) is irreducible of degree n, F[x] / p(x) or F(x)
then every element of F(x) may be written as a polynomial of the form;
With n terms, all of the a[i] in Zp Addition is simply the adding of the
coefficients mod p of like powers of x. Multiplication is a little
confusing, but well defined. When multiplying, powers greater than n - 1
will occur. since the ideal is effectively zero in F(x), we do
multiplication 'modulo p(x)' thus. any power of x higher than n-1 is
dealt with by rearrangement of p(x). p(x) is of the form

So p(x) reduces term higher than degree n into
polynomials of lesser degree, and by some effort the product is reduced
to an element of f(x). Note that the irreducible is unique up to product
by a member of F in its coefficients. (Unique up to a unit).
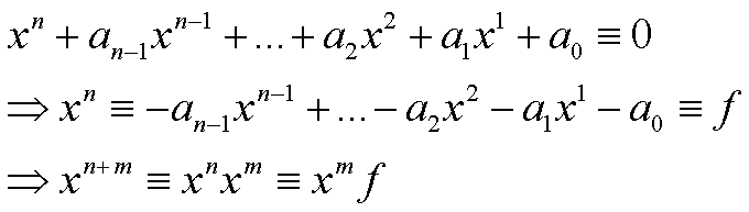
I have mentioned that the multiplicative group of a
finite field is cyclic. That is, every one of it's pn - 1
elements may be written as xm for some element x of ( f(x) ,
*) (x a 'generator').
The element x in f(x) is a root of the polynomial p(x) =
0 over F. For a polynomial f of degree n, f has n roots. by
permuting these roots, we may choose any root of p(x) for our x,
after which all powers of x are determined. We permute the order of the
powers of x in a cyclic fashion, holding the coefficients constant.
These permutations, holding the field F constant form a group, the
Galois Group of F(x) over F. and is of degree n no matter how large or
small F is, as long as the index of F in F(x) , the degree of p(x) over
F is n. The fact that these are all equal not only defines the field as
"separable" but "perfect." Whilst I was in college, this is the only use
of the word "perfect" in any mathematical definition across many
subjects. People are amazed at Euler's equation or the class equation in
group theory, but it is testament to the beauty of Galois Fields that they are called
"Perfect".
The full galois group Gal(f(x)), is actually called Gal(
F(x) / Zp ), and is of order n if F(x) has pn elements. Since
the order of a subfield divides the order of it's parent, and each
permutation hold's some set of elements as coefficients constant, each
subfield 'splits' the automorphisms into mappings that hold some
subfield constant. The degree of the extension over each subfield, and
over it's subfields down the ladder in product make 'n'.
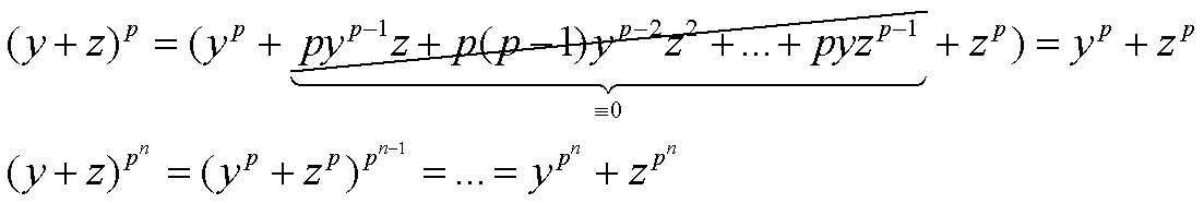
These automorphisms that form elements of the Galois
group have a beautiful solution. For any two elements of the field f(x),
y and z;

(The elements crossed out are multiples of p and
congruent to zero.)
So the map of raising an element of Zp to the power of p
is a homomorphism, and therefore it must be an automorphism in the
Galois group. Every element in a subfield of order equal to that of
Gal(p , k) (p to the k elements) is held fixed by the raising to the
power of it's order. This morphism is called the "Frobenius
automorphism" which is clearly cyclic. Those subfields of greater order
are permuted, but held fixed by the appropriate repetition of raising to
the pth power.. each degree of extension corresponds to a like number of
applications of the Frobenius map. t is easier to consider decreasing
order subfields than increasing, if the fact that k divides n for a
subfield Gal(p , k) of Gal(p , n) is taken into consideration.
Continue To Next Page
Return To Section Start
Return To Previous Page |